Упр.6.26 ГДЗ Дорофеев Суворова 8 класс (Алгебра)
Решение #1

Рассмотрим вариант решения задания из учебника Дорофеев, Суворова, Бунимович 8 класс, Просвещение:
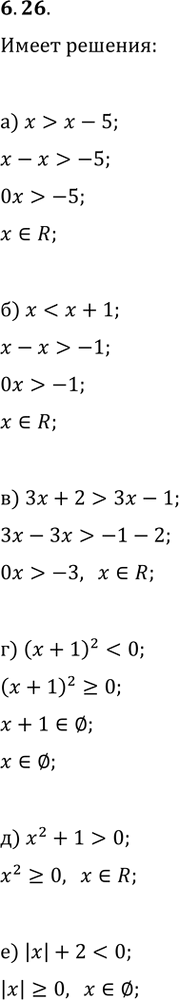
Объясните, почему неравенство не имеет решения или почему его решением является любое число:
а) x > x-5; в) 3x+2 > 3x-1; д) x^2+1 > 0;
б) x < x+1; г) (x+1)^2 < 0; е) |x|+2 < 0.
Популярные решебники 8 класс Все решебники
*К сожалению, временные проблемы с публикацией комментариев с мобильных устройств.