Упр.6.23 ГДЗ Дорофеев Суворова 8 класс (Алгебра)
Решение #1

Рассмотрим вариант решения задания из учебника Дорофеев, Суворова, Бунимович 8 класс, Просвещение:
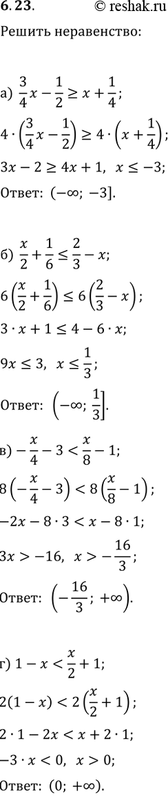
Решите неравенство:
а) 3/4x-1/2?x+1/4; в) -x/4-3 < x/8-1;
б) x/2+1/6?2/3-x; г) 1-x < x/2+1.
Популярные решебники 8 класс Все решебники
*размещая тексты в комментариях ниже, вы автоматически соглашаетесь с пользовательским соглашением