Упр.6.19 ГДЗ Дорофеев Суворова 8 класс (Алгебра)
Решение #1

Рассмотрим вариант решения задания из учебника Дорофеев, Суворова, Бунимович 8 класс, Просвещение:
Решите неравенство.
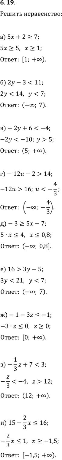
а) 5x+2?7; г) -12u-2 > 14; ж) -1-3z?-1;
б) 2y-3 < 11; д) -3?5x-7; з) -1/3z+7 < 3;
в) -2y+6 < -4; е) 16 > 3y-5; и) 15-2/3x?16.
Популярные решебники 8 класс Все решебники
*размещая тексты в комментариях ниже, вы автоматически соглашаетесь с пользовательским соглашением