Упр.6.17 ГДЗ Дорофеев Суворова 8 класс (Алгебра)
Решение #1

Рассмотрим вариант решения задания из учебника Дорофеев, Суворова, Бунимович 8 класс, Просвещение:
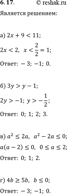
Какие из чисел: -3; 1; 0; 1; 2; 3 являются решениями данного неравенства:
а) 2x+9 < 11; б) 3y > y-1; в) a^2?2a; г) 4b?5b?
Популярные решебники 8 класс Все решебники
*размещая тексты в комментариях ниже, вы автоматически соглашаетесь с пользовательским соглашением