Упр.5.20 ГДЗ Дорофеев Суворова 8 класс (Алгебра)
Решение #1

Рассмотрим вариант решения задания из учебника Дорофеев, Суворова, Бунимович 8 класс, Просвещение:
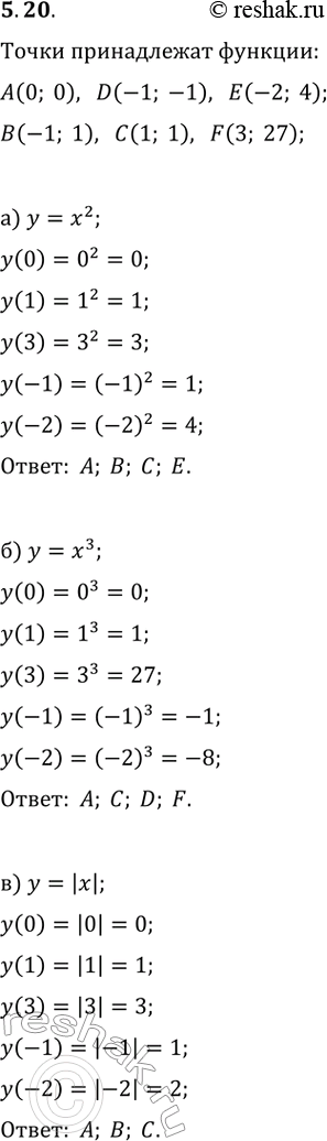
Из точек A(0; 0), B(-1; 1), C(1; 1), D(-1; -1), E(-2; 4), F(3; 27) выберите те, которые принадлежат:
а) параболе y=x^2;
б) кубической параболе y=x^3;
в) графику зависимости y=|x|.
Популярные решебники 8 класс Все решебники
*размещая тексты в комментариях ниже, вы автоматически соглашаетесь с пользовательским соглашением