Упр.5.16 ГДЗ Дорофеев Суворова 8 класс (Алгебра)
Решение #1

Рассмотрим вариант решения задания из учебника Дорофеев, Суворова, Бунимович 8 класс, Просвещение:
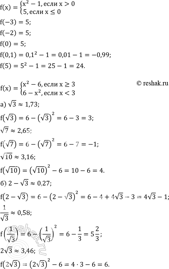
Дана функция
f(x)={(x^2-1,если x > 0
5,если x?0)+
Найдите значение этой функции при значении аргумента, равном -3; -2; 0; 0,1; 5.
Дана функция
f(x)={(x^2-6,если x?3
6-x^2,если x < 3)+
Найдите значение этой функции при значении аргумента, равном
а) v3; v7; v10; б) 2-v3; 1/v3;2v3.
Популярные решебники 8 класс Все решебники
*размещая тексты в комментариях ниже, вы автоматически соглашаетесь с пользовательским соглашением