Упр.5.14 ГДЗ Дорофеев Суворова 8 класс (Алгебра)
Решение #1

Рассмотрим вариант решения задания из учебника Дорофеев, Суворова, Бунимович 8 класс, Просвещение:
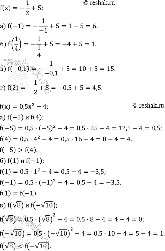
Дана функция f(x)=-1/x+5. Найдите:
а) f(-1); б) f(1/4); в) f(-0,1); г) f(2).
Известно, что f(x)=0,5x^2-4. Сравните:
а) f(-5) и f(4); б) f(1) и f(-1); в) f(v8) и f(-v10).
Популярные решебники 8 класс Все решебники
*размещая тексты в комментариях ниже, вы автоматически соглашаетесь с пользовательским соглашением