Упр.5.10 ГДЗ Дорофеев Суворова 8 класс (Алгебра)
Решение #1

Рассмотрим вариант решения задания из учебника Дорофеев, Суворова, Бунимович 8 класс, Просвещение:
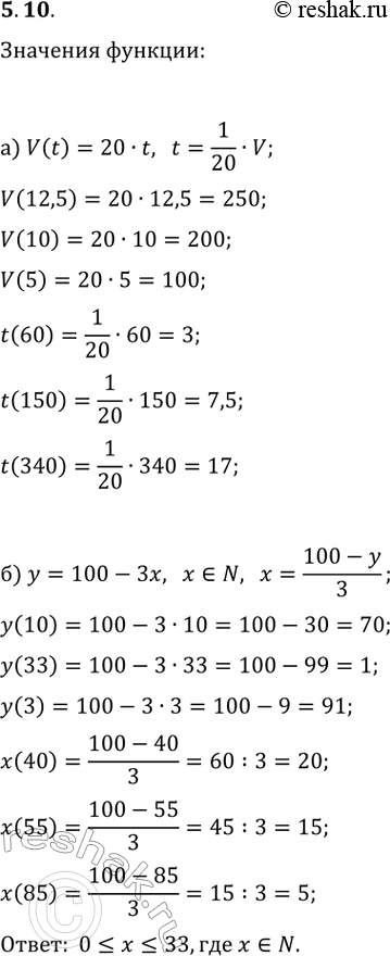
а) Бассейн наполняется водой с помощью насоса, через который вода поступает со скоростью 20 л в минуту. За t мин в бассейн наливается V л воды. Задайте формулой зависимость V от t. Найдите значение функции V при значении аргумента t, равном 5; 10; 12,5. Найдите значение аргумента t, которому соответствует значение функции V, равное 60; 150; 340.
б) Имелось 100 кг муки. Ежедневно расходовали 3 кг муки. Через х дней осталось у кг муки. Задайте формулой зависимость у от х. Найдите значение функции у при значении аргумента х, равном 3; 10; 33. Найдите значение аргумента, при котором значение функции равно 40; 55; 85. Укажите область определения функции.
Популярные решебники 8 класс Все решебники
*размещая тексты в комментариях ниже, вы автоматически соглашаетесь с пользовательским соглашением