Упр.483 ГДЗ Атанасян 10-11 класс по геометрии (Геометрия)
Решение #1
Решение #2

Рассмотрим вариант решения задания из учебника Атанасян, Бутузов, Кадомцев 11 класс, Просвещение:
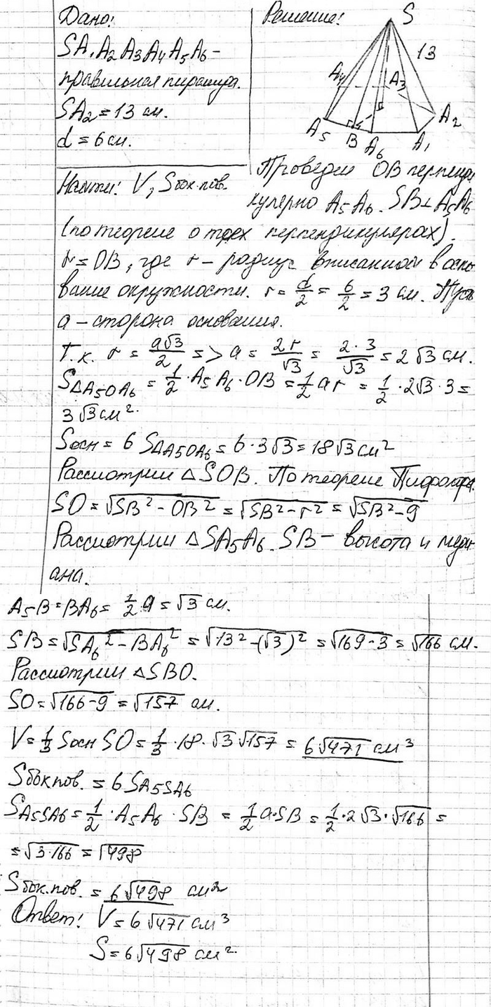
Найдите объем и площадь боковой поверхности правильной шестиугольной пирамиды, если ее боковое ребро равно 13 см, а диаметр круга, вписанного в основание, равен 6 см.
Популярные решебники 11 класс Все решебники
*размещая тексты в комментариях ниже, вы автоматически соглашаетесь с пользовательским соглашением