Упр.479 ГДЗ Атанасян 10-11 класс по геометрии (Геометрия)
Решение #1
Решение #2

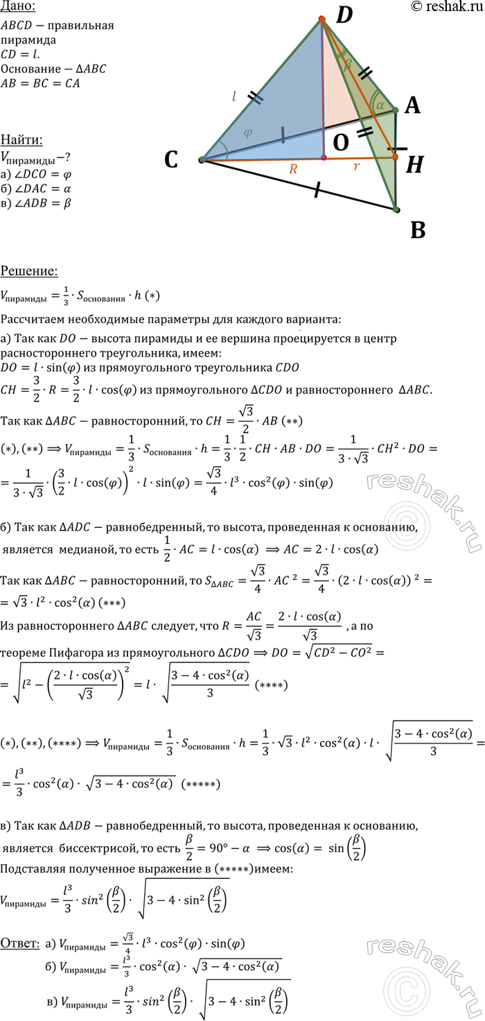
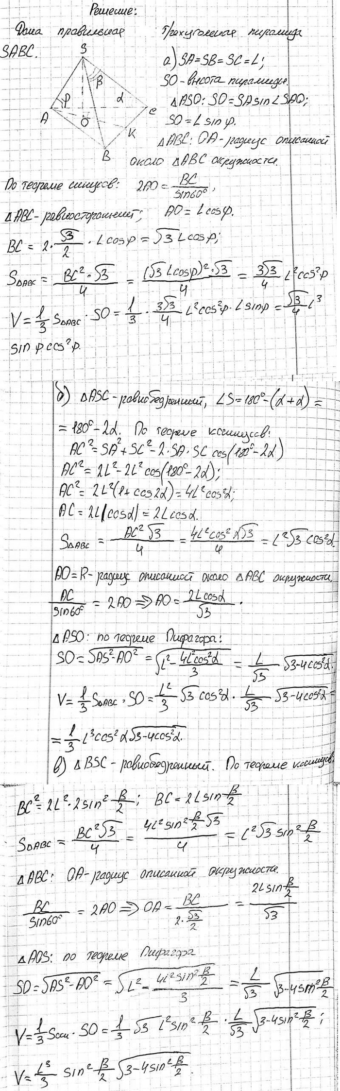
Рассмотрим вариант решения задания из учебника Атанасян, Бутузов, Кадомцев 11 класс, Просвещение:
Найдите объем правильной треугольной пирамиды с боковым ребром 1, если:
а) боковое ребро составляет с плоскостью основания угол ф;
б) боковое ребро составляет с прилежащей стороной основания угол а;
в) плоский угол при вершине равен р.
Популярные решебники 11 класс Все решебники
*размещая тексты в комментариях ниже, вы автоматически соглашаетесь с пользовательским соглашением