Упр.442 ГДЗ Атанасян 10-11 класс по геометрии (Геометрия)
Решение #1
Решение #2

Рассмотрим вариант решения задания из учебника Атанасян, Бутузов, Кадомцев 11 класс, Просвещение:
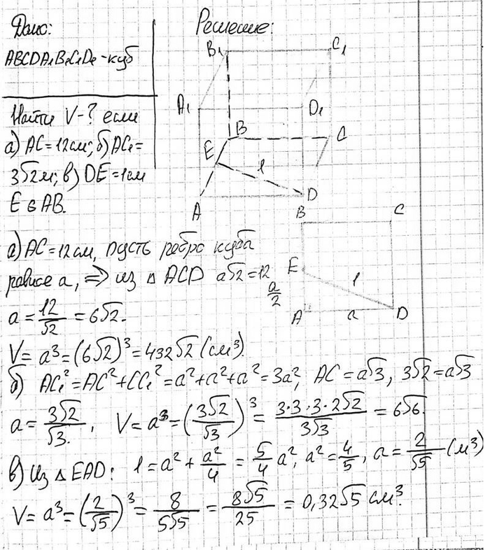
Найдите объем куба ABCDAtBlC1Dl, если: а) AC = 12 см;
б) AC1 = 3 V2 м; в) DE = 1 см, где E — середина ребра AB.
Популярные решебники 11 класс Все решебники
*К сожалению, временные проблемы с публикацией комментариев с мобильных устройств.