Упр.428 ГДЗ Атанасян 10-11 класс по геометрии (Геометрия)
Решение #1

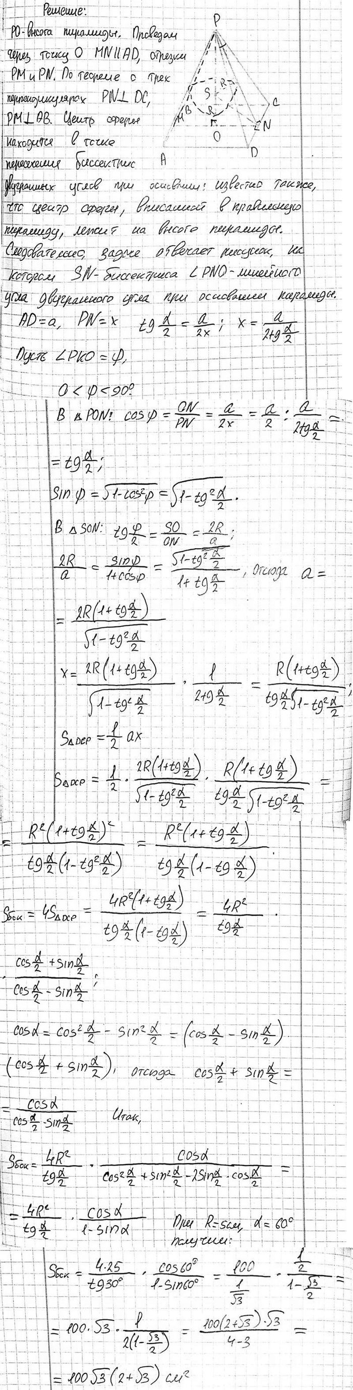
Рассмотрим вариант решения задания из учебника Атанасян, Бутузов, Кадомцев 11 класс, Просвещение:
Около сферы радиуса R описана правильная четырехугольная пирамида, плоский угол при вершине которой равен а.
а) Найдите площадь боковой поверхности пирамиды.
б) Вычислите эту площадь при R = 5 см, а = 60°.
Популярные решебники 11 класс Все решебники
*размещая тексты в комментариях ниже, вы автоматически соглашаетесь с пользовательским соглашением