Упр.424 ГДЗ Атанасян 10-11 класс по геометрии (Геометрия)
Решение #1

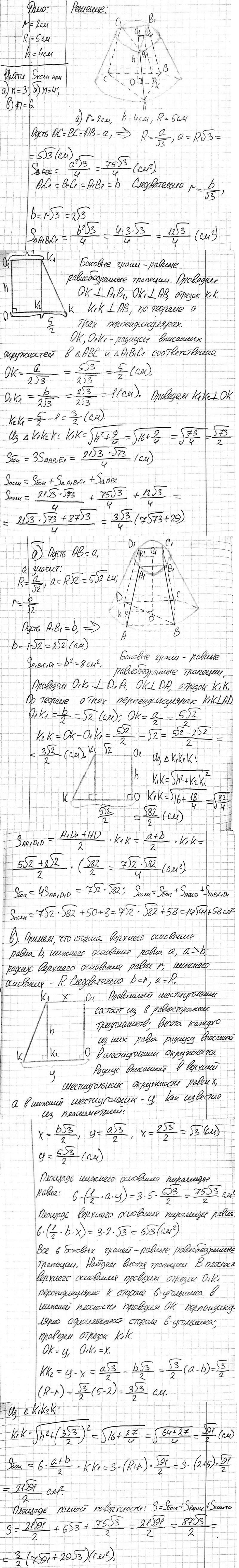
Рассмотрим вариант решения задания из учебника Атанасян, Бутузов, Кадомцев 11 класс, Просвещение:
B усеченный конус вписана правильная усеченная л-угольная пирамида (т. e. основания пирамиды вписаны в основания усеченного конуса). Радиусы оснований усеченного конуса равны 2 см и 5 см, а высота равна 4 см. Вычислите площадь полной поверхности пирамиды при: а) n = 3; б) n = 4; в) n = 6.
Популярные решебники 11 класс Все решебники
*размещая тексты в комментариях ниже, вы автоматически соглашаетесь с пользовательским соглашением