Упр.420 ГДЗ Атанасян 10-11 класс по геометрии (Геометрия)
Решение #1

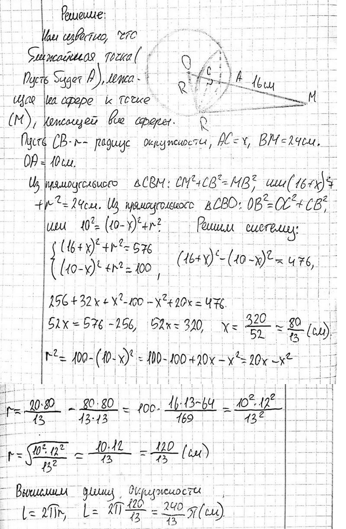
Рассмотрим вариант решения задания из учебника Атанасян, Бутузов, Кадомцев 11 класс, Просвещение:
Вне сферы радиуса 10 см дана точка M на расстоянии 16 см от ближайшей точки сферы. Найдите длину такой окружности на сфере, все точки которой удалены от точки M на расстояние 24 см.
Популярные решебники 11 класс Все решебники
*размещая тексты в комментариях ниже, вы автоматически соглашаетесь с пользовательским соглашением