Упр.4.76 ГДЗ Дорофеев Суворова 8 класс (Алгебра)
Решение #1

Рассмотрим вариант решения задания из учебника Дорофеев, Суворова, Бунимович 8 класс, Просвещение:
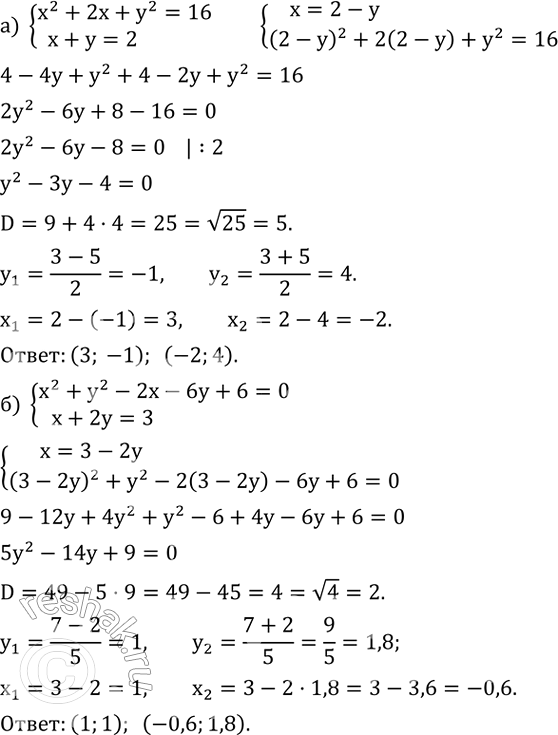
Решите систему уравнений:
а) {(x^2+2x+y^2=16
x+y=2)+
б) {(x^2+y^2-2x-6y+6=0
x+2y=3)+
Популярные решебники 8 класс Все решебники
*размещая тексты в комментариях ниже, вы автоматически соглашаетесь с пользовательским соглашением