Упр.4.73 ГДЗ Дорофеев Суворова 8 класс (Алгебра)
Решение #1

Рассмотрим вариант решения задания из учебника Дорофеев, Суворова, Бунимович 8 класс, Просвещение:
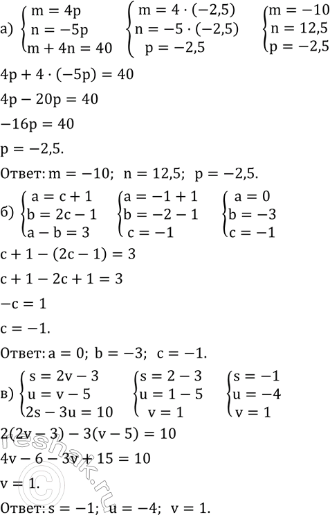
{(m=4p
n=-5p
m+4n=40)+
{(a=c+1
b=2c-1
a-b=3)+
{(s=2v-3
u=v-5
2s-3u=10)+
Популярные решебники 8 класс Все решебники
*размещая тексты в комментариях ниже, вы автоматически соглашаетесь с пользовательским соглашением