Упр.4.71 ГДЗ Дорофеев Суворова 8 класс (Алгебра)
Решение #1

Рассмотрим вариант решения задания из учебника Дорофеев, Суворова, Бунимович 8 класс, Просвещение:
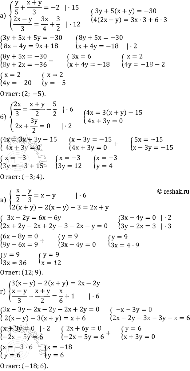
Решите систему уравнений:
а) {(y/5+(x+y)/3=-2
(2x-y)/3=3x/4+3/2)+
б) {(2x/3=(x+y)/2-5/2
2x+3y/2=0)+
в) {(x/2-y/3=x-y
2(x+y)-2(x-y)-3=2x+y)+
г) {(3(x-y)-2(x+y)=2x-2y
(x-y)/3-(x+y)/2=x/6+1)+
Популярные решебники 8 класс Все решебники
*размещая тексты в комментариях ниже, вы автоматически соглашаетесь с пользовательским соглашением