Упр.4.69 ГДЗ Дорофеев Суворова 8 класс (Алгебра)
Решение #1

Рассмотрим вариант решения задания из учебника Дорофеев, Суворова, Бунимович 8 класс, Просвещение:
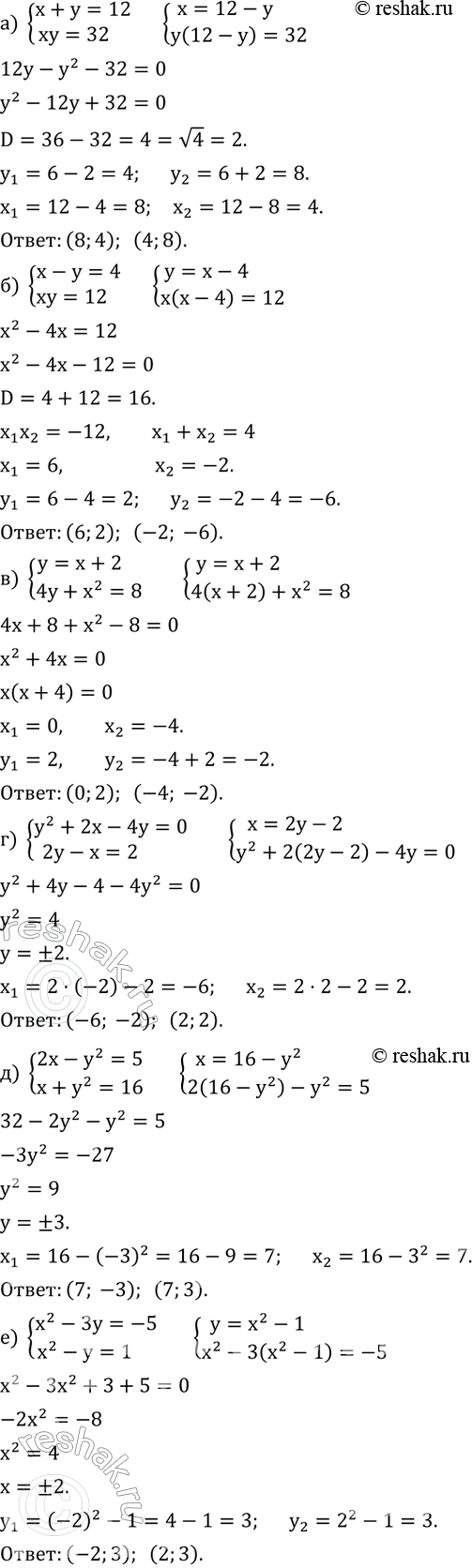
Решите систему уравнений:
а) {(x+y=12
xy=32)+
б) {(x-y=4
xy=12)+
в) {(y=x+2
4y+x^2=8)+
г) {(y^2+2x-4y=0
2y-x=2)+
д) {(2x-y^2=5
x+y^2=16)+
е) {(x^2-3y=-5
x^2-y=1)+
Популярные решебники 8 класс Все решебники
*размещая тексты в комментариях ниже, вы автоматически соглашаетесь с пользовательским соглашением