Упр.4.66 ГДЗ Дорофеев Суворова 8 класс (Алгебра)
Решение #1

Рассмотрим вариант решения задания из учебника Дорофеев, Суворова, Бунимович 8 класс, Просвещение:
Решите систему уравнений, применив любой из известных вам способов:
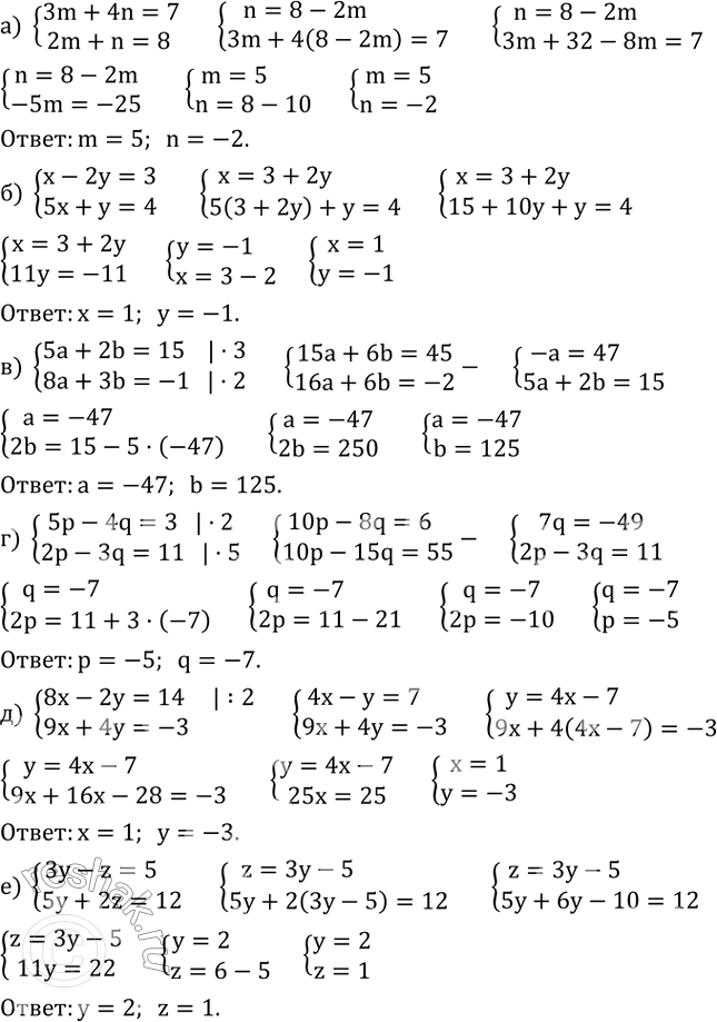
а) {(3m+4n=7
2m+n=8)+
б) {(x-2y=3
5x+y=4)+
в) {(5a+2b=15
8a+3b=-1)+
г) {(5p-4q=3
2p-3q=11)+
д) {(8x-2y=14
9x+4y=-3)+
е) {(3y-z=5
5y+2z=12)+
Популярные решебники 8 класс Все решебники
*размещая тексты в комментариях ниже, вы автоматически соглашаетесь с пользовательским соглашением