Упр.4.63 ГДЗ Дорофеев Суворова 8 класс (Алгебра)
Решение #1

Рассмотрим вариант решения задания из учебника Дорофеев, Суворова, Бунимович 8 класс, Просвещение:
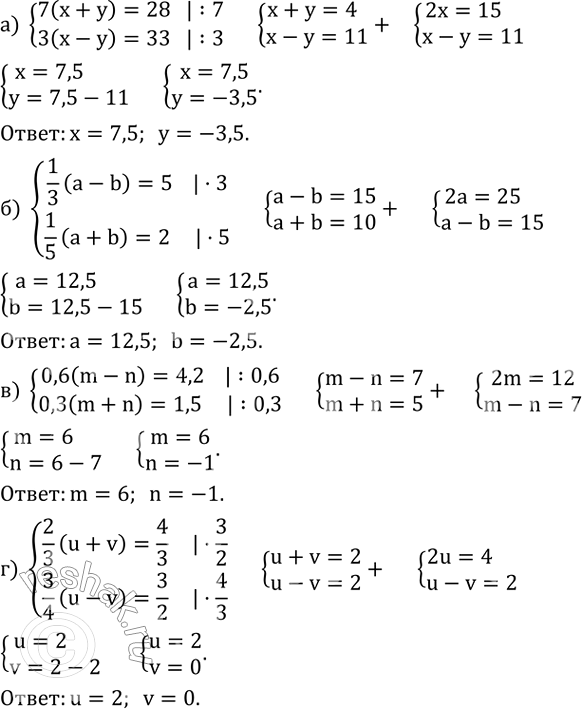
Решите систему уравнений:
а) {(7(x+y)=28
3(x-y)=33)+
б) {(1/3 (a-b)=5
1/5 (a+b)=2)+
в) {(0,6(m-n)=4,2
0,3(m+n)=1,5)+
г) {(2/3 (u+v)=4/3
3/4 (u-v)=3/2)+
Популярные решебники 8 класс Все решебники
*размещая тексты в комментариях ниже, вы автоматически соглашаетесь с пользовательским соглашением