Упр.4.62 ГДЗ Дорофеев Суворова 8 класс (Алгебра)
Решение #1

Рассмотрим вариант решения задания из учебника Дорофеев, Суворова, Бунимович 8 класс, Просвещение:
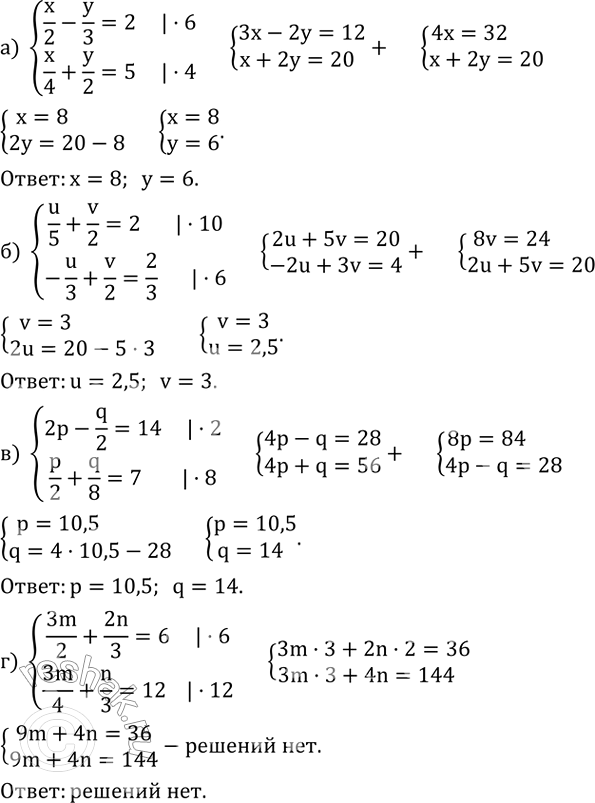
Решите систему уравнений:
а) {(x/2-y/3=2
x/4+y/2=5)+
б) {(u/5+v/2=2
-u/3+v/2=2/3)+
в) {(2p-q/2=14
p/2+q/8=7)+
г) {(3m/2+2n/3=6
3m/4+n/3=12)+
Популярные решебники 8 класс Все решебники
*размещая тексты в комментариях ниже, вы автоматически соглашаетесь с пользовательским соглашением