Упр.4.57 ГДЗ Дорофеев Суворова 8 класс (Алгебра)
Решение #1

Рассмотрим вариант решения задания из учебника Дорофеев, Суворова, Бунимович 8 класс, Просвещение:
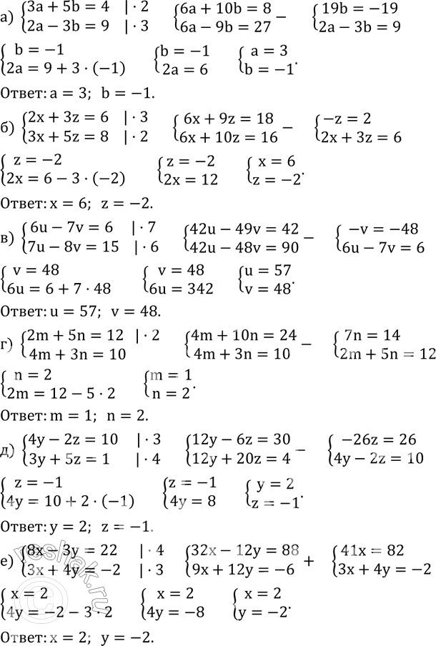
Решите систему уравнений:
а) {(3a+5b=4
2a-3b=9)+
б) {(2x+3z=6
3x+5z=8)+
в) {(6u-7v=6
7u-8v=15)+
г) {(2m+5n=12
4m+3n=10)+
д) {(4y-2z=10
3y+5z=1 )+
е) {(8x-3y=22
3x+4y=-2)+
Популярные решебники 8 класс Все решебники
*размещая тексты в комментариях ниже, вы автоматически соглашаетесь с пользовательским соглашением