Упр.4.31 ГДЗ Дорофеев Суворова 8 класс (Алгебра)
Решение #1

Рассмотрим вариант решения задания из учебника Дорофеев, Суворова, Бунимович 8 класс, Просвещение:
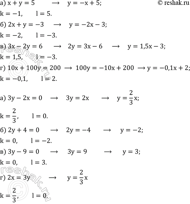
Запишите уравнение прямой в виде y=kx+l и назовите коэффициенты k и l:
а) x+y=5;
б) 2x+y=-3;
в) 3x-2y=6;
г) 10x+100y=200.
Запишите уравнение прямой в виде y=kx+l и назовите коэффициенты k и l:
а) 3y-2x=0;
б) 2y+4=0;
в) 3y-9=0;
г) 2x=3y.
Популярные решебники 8 класс Все решебники
*размещая тексты в комментариях ниже, вы автоматически соглашаетесь с пользовательским соглашением