Упр.4.27 ГДЗ Дорофеев Суворова 8 класс (Алгебра)
Решение #1

Рассмотрим вариант решения задания из учебника Дорофеев, Суворова, Бунимович 8 класс, Просвещение:
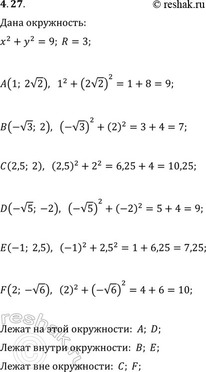
Окружность задана уравнением x^2+y^2=9. Определите, какие из данных точек лежат на этой окружности; внутри окружности; вне окружности: A(1; 2v2), B(-v3; 2), C(2,5; 2), D(-v5, -2), E(-1; 2,5), F(2; -v6).
Популярные решебники 8 класс Все решебники
*размещая тексты в комментариях ниже, вы автоматически соглашаетесь с пользовательским соглашением