Упр.4.24 ГДЗ Дорофеев Суворова 8 класс (Алгебра)
Решение #1

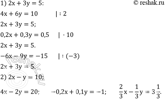
Рассмотрим вариант решения задания из учебника Дорофеев, Суворова, Бунимович 8 класс, Просвещение:
1) Выпишите уравнения, которые задают ту же прямую, что и уравнения 2x+3y=5:
4x+6y=10, 2x+3y=12, 0,2x+0,3y=0,5,
4x+6y=5, -6x-9y=-15, 2x-3y=5.
2) Составьте несколько уравнений, которые задают ту же самую прямую, что и уравнение 2x-y=10.
Популярные решебники 8 класс Все решебники
*размещая тексты в комментариях ниже, вы автоматически соглашаетесь с пользовательским соглашением