Упр.362 ГДЗ Атанасян 10-11 класс по геометрии (Геометрия)
Решение #1

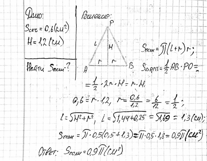
Рассмотрим вариант решения задания из учебника Атанасян, Бутузов, Кадомцев 11 класс, Просвещение:
Площадь осевого сечения конуса равна 0,6 см2. Высота конуса равна 1,2 см. Вычислите площадь полной поверхности конуса.
Популярные решебники 11 класс Все решебники
*К сожалению, временные проблемы с публикацией комментариев с мобильных устройств.