Упр.347 ГДЗ Атанасян 10-11 класс по геометрии (Геометрия)
Решение #1
Решение #2

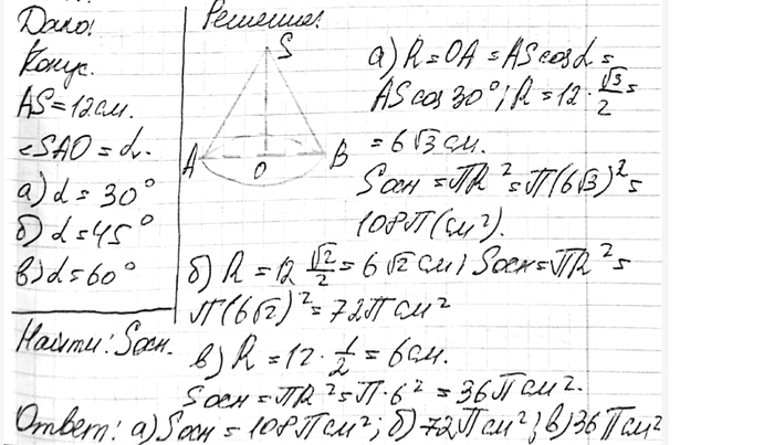
Рассмотрим вариант решения задания из учебника Атанасян, Бутузов, Кадомцев 11 класс, Просвещение:
Образующая конуса, равная 12 см, наклонена к плоскости основания под утлом а. Найдите площадь основания конуса, если:
а) а = 30°; б) а = 45°; в) oc = 600.
Популярные решебники 11 класс Все решебники
*размещая тексты в комментариях ниже, вы автоматически соглашаетесь с пользовательским соглашением