Упр.342 ГДЗ Атанасян 10-11 класс по геометрии (Геометрия)
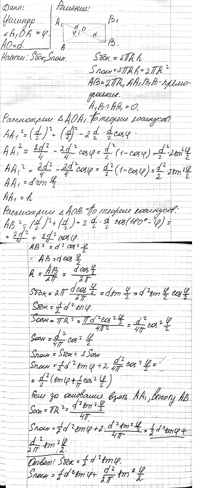
Решение #1
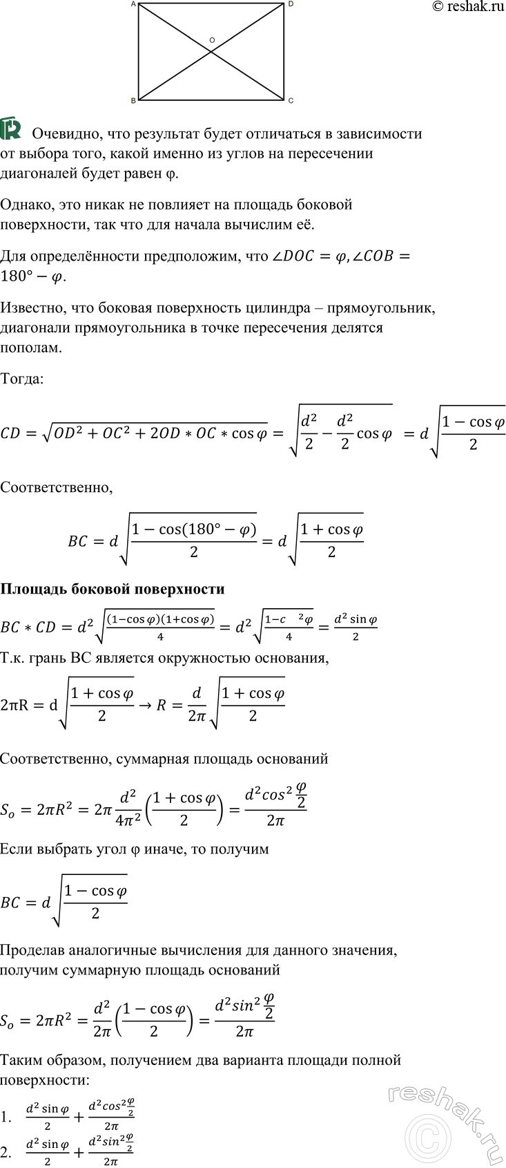
Решение #2

Рассмотрим вариант решения задания из учебника Атанасян, Бутузов, Кадомцев 11 класс, Просвещение:
Угол между диагоналями развертки боковой поверхности цилиндра равен ф, диагональ равна d. Найдите площади боковой и полной поверхностей цилиндра.
Популярные решебники 11 класс Все решебники
*К сожалению, временные проблемы с публикацией комментариев с мобильных устройств.