Упр.333 ГДЗ Атанасян 10-11 класс по геометрии (Геометрия)
Решение #1
Решение #2

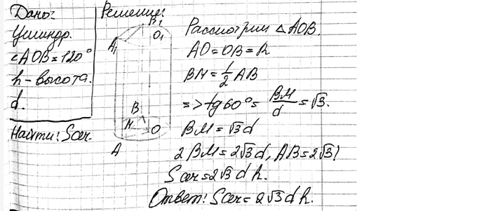
Рассмотрим вариант решения задания из учебника Атанасян, Бутузов, Кадомцев 11 класс, Просвещение:
Плоскость, параллельная оси цилиндра, отсекает от окружности основания дугу в 120°. Найдите площадь сечения, если высота цилиндра равна h, а расстояние между осью цилиндра и секущей плоскостью равно d.
Популярные решебники 11 класс Все решебники
*размещая тексты в комментариях ниже, вы автоматически соглашаетесь с пользовательским соглашением