Упр.332 ГДЗ Атанасян 10-11 класс по геометрии (Геометрия)
Решение #1
Решение #2

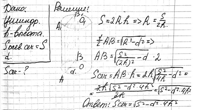
Рассмотрим вариант решения задания из учебника Атанасян, Бутузов, Кадомцев 11 класс, Просвещение:
Высота цилиндра равна h, а площадь осевого сечения равна S. Найдите площадь сечения цилиндра плоскостью, параллельной его оси, если расстояние между осью цилиндра и плоскостью сечения равно d.
Популярные решебники 11 класс Все решебники
*размещая тексты в комментариях ниже, вы автоматически соглашаетесь с пользовательским соглашением