Упр.3.98 ГДЗ Дорофеев Суворова 8 класс (Алгебра)
Решение #1

Рассмотрим вариант решения задания из учебника Дорофеев, Суворова, Бунимович 8 класс, Просвещение:
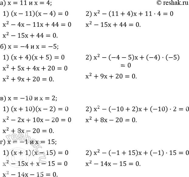
Составьте двумя способами квадратное уравнение, имеющее корни:
а) 11 и 4;
б) -4 и-5;
в) -10 и 2;
г) -1 и 15.
Популярные решебники 8 класс Все решебники
*размещая тексты в комментариях ниже, вы автоматически соглашаетесь с пользовательским соглашением