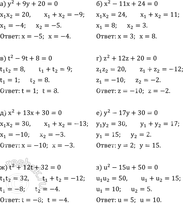
Упр.3.95 ГДЗ Дорофеев Суворова 8 класс (Алгебра)
Решение #1

Рассмотрим вариант решения задания из учебника Дорофеев, Суворова, Бунимович 8 класс, Просвещение:
Решите квадратное уравнение подбором корней:
а) y^2+9y+20=0;
б) x^2-11x+24=0;
в) t^2-9t+8=0;
г) z^2+12z+20=0;
д) x^2+13x+30=0;
е) y^2-17y+30=0;
ж) t^2+12t+32=0;
з) u^2-15u+50=0.
Популярные решебники 8 класс Все решебники
*размещая тексты в комментариях ниже, вы автоматически соглашаетесь с пользовательским соглашением