Упр.3.88 ГДЗ Дорофеев Суворова 8 класс (Алгебра)
Решение #1

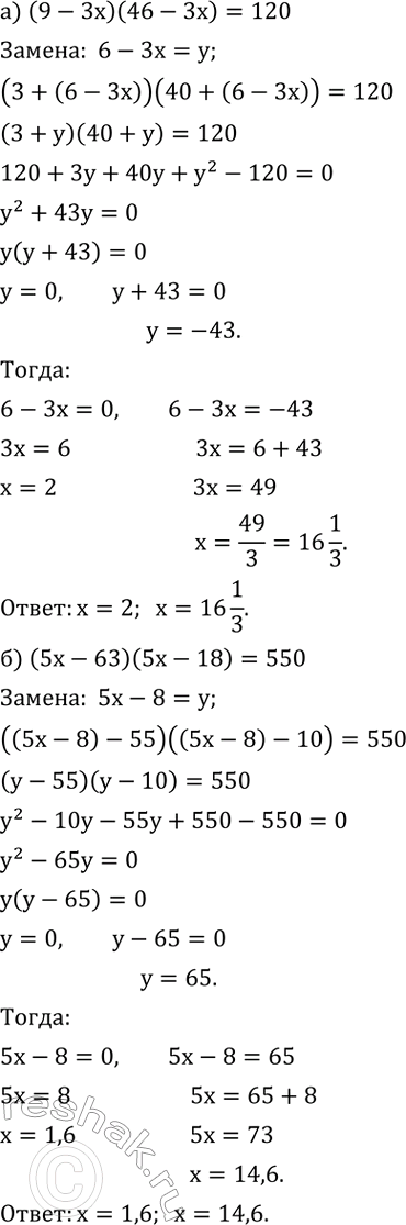
Рассмотрим вариант решения задания из учебника Дорофеев, Суворова, Бунимович 8 класс, Просвещение:
Решите уравнение, используя замену, приводящую к неполному квадратному уравнению:
а) (9-3x)(46-3x)=120;
б) (5x-63)(5x-18)=550.
Популярные решебники 8 класс Все решебники
*размещая тексты в комментариях ниже, вы автоматически соглашаетесь с пользовательским соглашением