Упр.3.84 ГДЗ Дорофеев Суворова 8 класс (Алгебра)
Решение #1

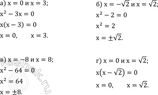
Рассмотрим вариант решения задания из учебника Дорофеев, Суворова, Бунимович 8 класс, Просвещение:
Составьте неполное квадратное уравнение, имеющее корни:
а) 0 и 3; б)-v2 и v2; в)-8 и 8; г) 0 и v2.
Популярные решебники 8 класс Все решебники
*размещая тексты в комментариях ниже, вы автоматически соглашаетесь с пользовательским соглашением