Упр.3.82 ГДЗ Дорофеев Суворова 8 класс (Алгебра)
Решение #1

Рассмотрим вариант решения задания из учебника Дорофеев, Суворова, Бунимович 8 класс, Просвещение:
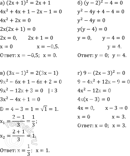
Решите уравнение:
а) (2x+1)^2=2x+1;
б) (y-2)^2-4=0;
в) (3x-1)^2=2(3x-1);
г) 9-(2x-3)^2=0.
Популярные решебники 8 класс Все решебники
*размещая тексты в комментариях ниже, вы автоматически соглашаетесь с пользовательским соглашением