Упр.3.74 ГДЗ Дорофеев Суворова 8 класс (Алгебра)
Решение #1

Рассмотрим вариант решения задания из учебника Дорофеев, Суворова, Бунимович 8 класс, Просвещение:
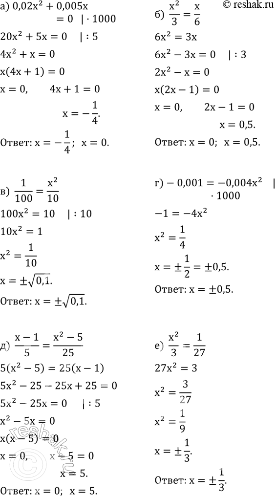
Решите уравнение:
а) 0,02x^2+0,005x=0;
б) x^2/3=x/6;
в) 1/100=x^2/10;
г) -0,001=-0,004x^2;
д) (x-1)/5=(x^2-5)/25;
е) x^2/3=1/27.
Популярные решебники 8 класс Все решебники
*размещая тексты в комментариях ниже, вы автоматически соглашаетесь с пользовательским соглашением