Упр.3.69 ГДЗ Дорофеев Суворова 8 класс (Алгебра)
Решение #1

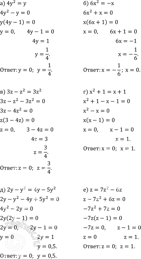
Рассмотрим вариант решения задания из учебника Дорофеев, Суворова, Бунимович 8 класс, Просвещение:
Решите уравнение:
а) 4y^2=y;
б) 6x^2=-x;
в) 3z-z^2=3z^2;
г) x^2+1=x+1;
д) 2y-y^2=4y-5y^2;
е) z=7z^2-6z.
Популярные решебники 8 класс Все решебники
*размещая тексты в комментариях ниже, вы автоматически соглашаетесь с пользовательским соглашением