Упр.3.29 ГДЗ Дорофеев Суворова 8 класс (Алгебра)
Решение #1

Рассмотрим вариант решения задания из учебника Дорофеев, Суворова, Бунимович 8 класс, Просвещение:
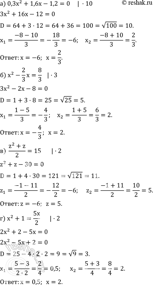
Решите уравнение:
а) 0,3x^2+1,6x-1,2=0;
б) x^2-2/3 x=8/3;
в) (z^2+z)/2=15;
г) x^2+1=5x/2;
д) 0,1y^2-0,9y+0,8=0;
е) 7/20-1/5 x=x^2;
ж) 5x^2=(1-5x)/10;
з) 1/3 x^2+3/2 x=3.
Популярные решебники 8 класс Все решебники
*размещая тексты в комментариях ниже, вы автоматически соглашаетесь с пользовательским соглашением