Упр.3.28 ГДЗ Дорофеев Суворова 8 класс (Алгебра)
Решение #1

Рассмотрим вариант решения задания из учебника Дорофеев, Суворова, Бунимович 8 класс, Просвещение:
Решите уравнение:
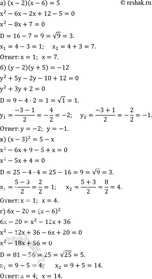
а) (x-2)(x-6)=5;
б) (y-2)(y+5)=-12;
в) (x-3)^2=5-x;
г) 6x-20=(x-6)^2;
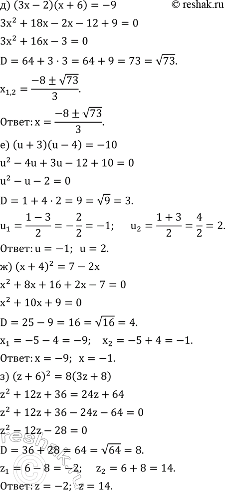
д) (3x-2)(x+6)=-9;
е) (u+3)(u-4)=-10;
ж) (x+4)^2=7-2x;
з) (z+6)^2=8(3z+8).
Популярные решебники 8 класс Все решебники
*размещая тексты в комментариях ниже, вы автоматически соглашаетесь с пользовательским соглашением