Упр.3.27 ГДЗ Дорофеев Суворова 8 класс (Алгебра)
Решение #1

Рассмотрим вариант решения задания из учебника Дорофеев, Суворова, Бунимович 8 класс, Просвещение:
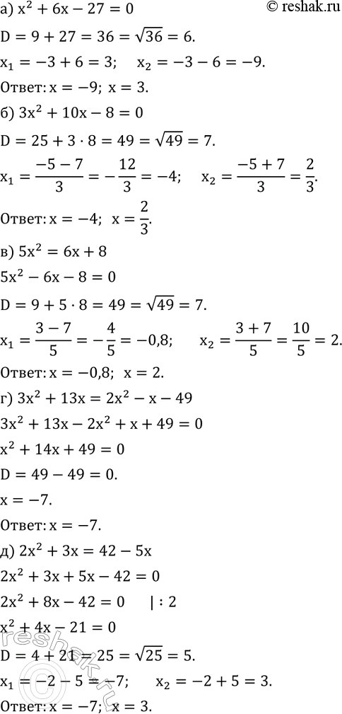
Решите уравнение, используя формулу корней квадратного уравнения с четным коэффициентом при x:
а) x^2+6x-27=0;
б) 3x^2+10x-8=0;
в) 5x^2=6x+8;
г) 3x^2+13x=2x^2-x-49;
д) 2x^2+3x=42-5x;
е) 6x+24=9x^2;
ж) 16x^2=16x+5;
з) -5x^2+20=14x-4.
Популярные решебники 8 класс Все решебники
*размещая тексты в комментариях ниже, вы автоматически соглашаетесь с пользовательским соглашением