Упр.3.24 ГДЗ Дорофеев Суворова 8 класс (Алгебра)
Решение #1

Рассмотрим вариант решения задания из учебника Дорофеев, Суворова, Бунимович 8 класс, Просвещение:
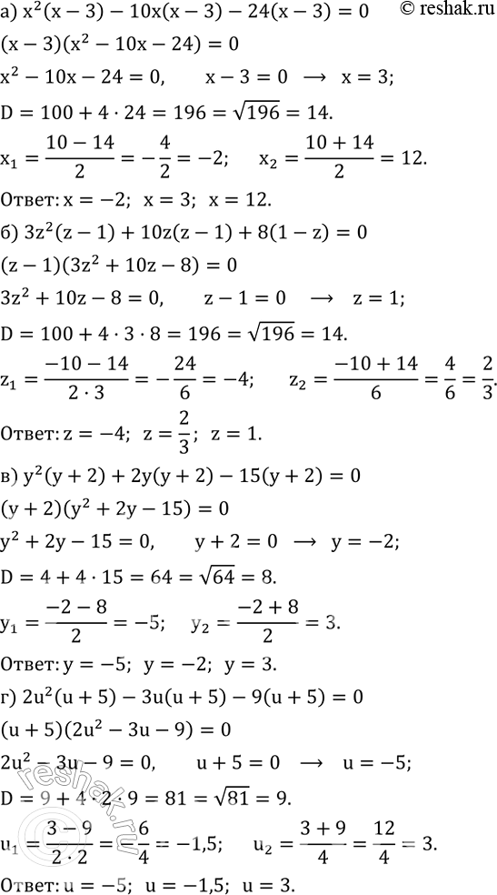
Найдите корни уравнения:
а) x^2 (x-3)-10x(x-3)-24(x-3)=0;
б) 3z^2 (z-1)+10z(z-1)+8(1-z)=0;
в) y^2 (y+2)+2y(y+2)-15(y+2)=0;
г) 2u^2 (u+5)-3u(u+5)-9(u+5)=0.
Популярные решебники 8 класс Все решебники
*размещая тексты в комментариях ниже, вы автоматически соглашаетесь с пользовательским соглашением