Упр.3.22 ГДЗ Дорофеев Суворова 8 класс (Алгебра)
Решение #1

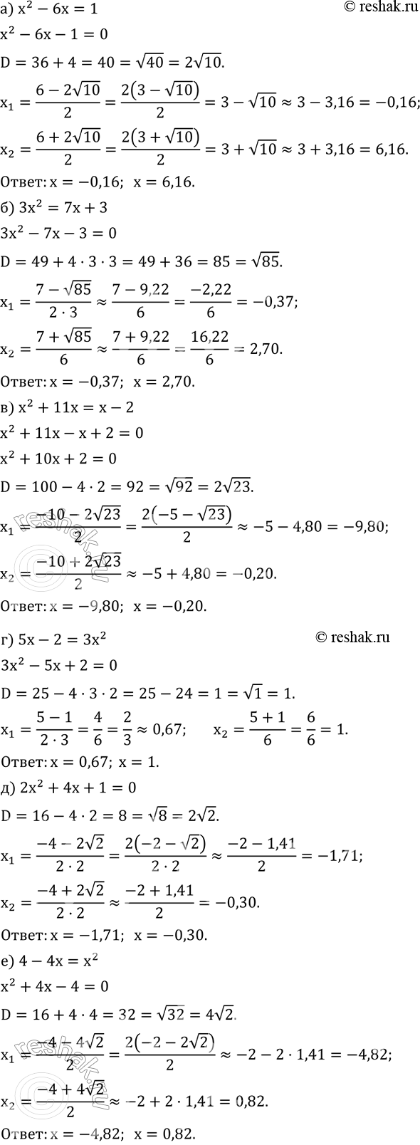
Рассмотрим вариант решения задания из учебника Дорофеев, Суворова, Бунимович 8 класс, Просвещение:
Найдите корни уравнения и укажите их приближенные значения с двумя знаками после запятой (воспользуйтесь калькулятором):
а) x^2-6x=1;
б) 3x^2=7x+3;
в) x^2+11x=x-2;
г) 5x-2=3x^2;
д) 2x^2+4x+1=0;
е) 4-4x=x^2.
Популярные решебники 8 класс Все решебники
*размещая тексты в комментариях ниже, вы автоматически соглашаетесь с пользовательским соглашением