Упр.3.17 ГДЗ Дорофеев Суворова 8 класс (Алгебра)
Решение #1

Рассмотрим вариант решения задания из учебника Дорофеев, Суворова, Бунимович 8 класс, Просвещение:
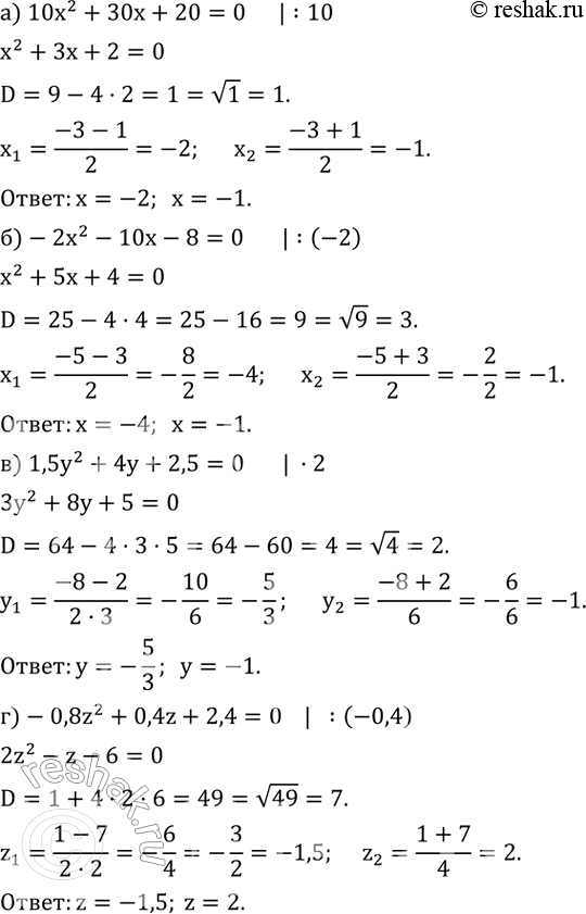
Решите уравнение:
а) 10x^2+30x+20=0;
б)-2x^2-10x-8=0;
в) 1,5y^2+4y+2,5=0;
г)-0,8z^2+0,4z+2,4=0.
Популярные решебники 8 класс Все решебники
*размещая тексты в комментариях ниже, вы автоматически соглашаетесь с пользовательским соглашением