Упр.3.119 ГДЗ Дорофеев Суворова 8 класс (Алгебра)
Решение #1

Рассмотрим вариант решения задания из учебника Дорофеев, Суворова, Бунимович 8 класс, Просвещение:
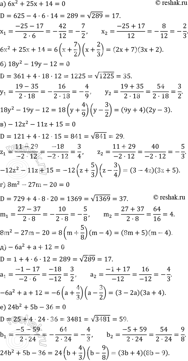
Представьте в виде произведения двух линейных множителей с целыми коэффициентами:
а) 6x^2+25x+14;
б) 18y^2-19y-12;
в) -12z^2-11z+15;
г) 8m^2-27m-20;
д) -6a^2+a+12;
е) 24b^2+5b-36.
Популярные решебники 8 класс Все решебники
*размещая тексты в комментариях ниже, вы автоматически соглашаетесь с пользовательским соглашением