Упр.3.118 ГДЗ Дорофеев Суворова 8 класс (Алгебра)
Решение #1

Рассмотрим вариант решения задания из учебника Дорофеев, Суворова, Бунимович 8 класс, Просвещение:
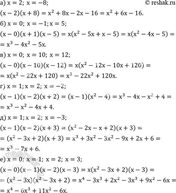
Составьте какое-нибудь уравнение, имеющее корни:
а) 2; -8;
б) 0; -1;5;
в) 0;10;12;
г) 1;2; -2;
д) 1;2; -3;
е) 0;1;2;3.
Популярные решебники 8 класс Все решебники
*размещая тексты в комментариях ниже, вы автоматически соглашаетесь с пользовательским соглашением