Упр.3.117 ГДЗ Дорофеев Суворова 8 класс (Алгебра)
Решение #1

Рассмотрим вариант решения задания из учебника Дорофеев, Суворова, Бунимович 8 класс, Просвещение:
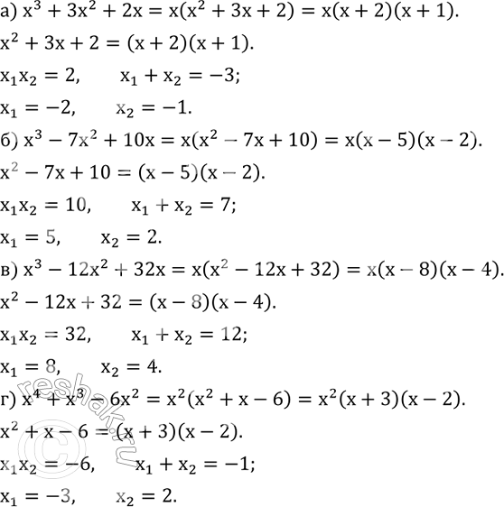
Разложите на множители:
а) x^3+3x^2+2x;
б) x^3-7x^2+10x;
в) x^3-12x^2+32x;
г) x^4+x^3-6x^2.
Популярные решебники 8 класс Все решебники
*размещая тексты в комментариях ниже, вы автоматически соглашаетесь с пользовательским соглашением