Упр.3.115 ГДЗ Дорофеев Суворова 8 класс (Алгебра)
Решение #1

Рассмотрим вариант решения задания из учебника Дорофеев, Суворова, Бунимович 8 класс, Просвещение:
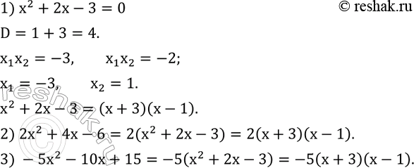
Покажите, что квадратные трехчлены x^2+2x-3, 2x^2+4x-6, -5x^2-10x+15 имеют одни и те же корни. Разложите эти квадратные трехчлены на множители.
Популярные решебники 8 класс Все решебники
*размещая тексты в комментариях ниже, вы автоматически соглашаетесь с пользовательским соглашением