Упр.3.114 ГДЗ Дорофеев Суворова 8 класс (Алгебра)
Решение #1

Рассмотрим вариант решения задания из учебника Дорофеев, Суворова, Бунимович 8 класс, Просвещение:
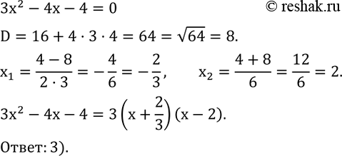
В каком случае верно представлено разложение квадратного трехчлена 3x^2-4x-4 на линейные множители?
1) (x+2/3)(x-2)
2) (x-2/3)(x-2)
3) 3(x+2/3)(x-2)
4) 3(x-2/3)(x-2)
Популярные решебники 8 класс Все решебники
*размещая тексты в комментариях ниже, вы автоматически соглашаетесь с пользовательским соглашением