Упр.3.113 ГДЗ Дорофеев Суворова 8 класс (Алгебра)
Решение #1

Рассмотрим вариант решения задания из учебника Дорофеев, Суворова, Бунимович 8 класс, Просвещение:
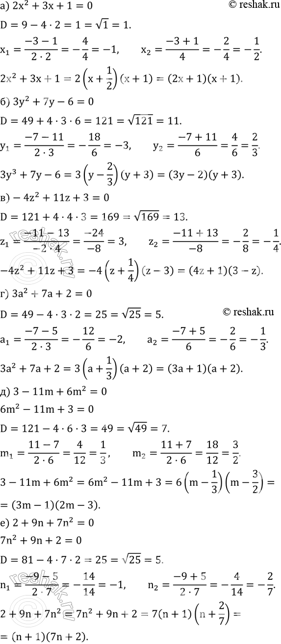
Разложите на множители:
а) 2x^2+3x+1;
б) 3y^2+7y-6;
в) -4z^2+11z+3;
г) 3a^2+7a+2;
д) 3-11m+6m^2;
е) 2+9n+7n^2.
Популярные решебники 8 класс Все решебники
*размещая тексты в комментариях ниже, вы автоматически соглашаетесь с пользовательским соглашением