Упр.3.112 ГДЗ Дорофеев Суворова 8 класс (Алгебра)
Решение #1

Рассмотрим вариант решения задания из учебника Дорофеев, Суворова, Бунимович 8 класс, Просвещение:
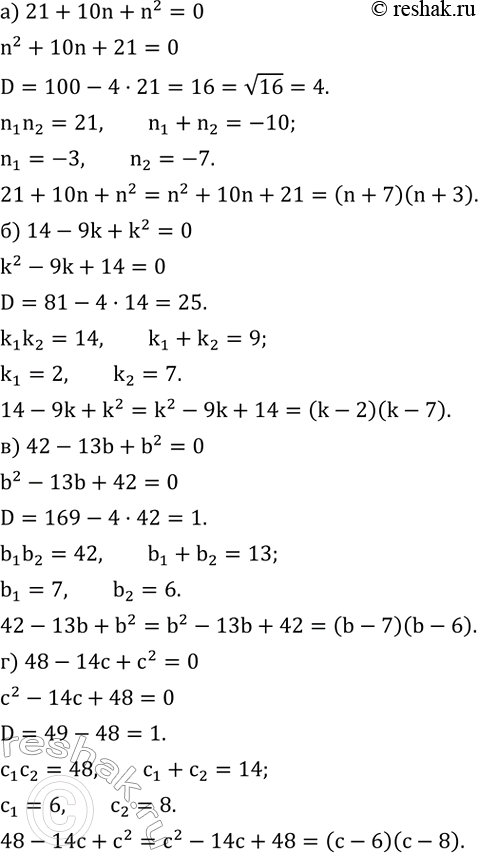
Разложите на множители:
а) 21+10n+n^2;
б) 14-9k+k^2;
в) 42-13b+b^2;
г) 48-14c+c^2.
Популярные решебники 8 класс Все решебники
*размещая тексты в комментариях ниже, вы автоматически соглашаетесь с пользовательским соглашением